ezili_sm_button
writings_sm_button
perform_sm_button
bio_sm_button
workshops_sm_button
contactus_sm_button
guest_bu_button
law_sm_button
merchan_bu_button
BACK

FreeHaitiMovement
***********************
Denouncing the Companies, authorities and organizations supporting coup d'etat and the occupation in Haiti

***********************
Companies in Haiti to Boycott

***********************
Digging up Haiti
***********************

Sign the petition demanding the 22 Billion Haitian restitution from France
***********************

La DGI présente les 150 plus grandes entreprises d'Haïti

***********************

Gildan Activewear: Taking Sweatshops to new depths in Haiti, By Anthoney Fenton, July 21, 2004,
Znet
***********************

**************
Background information on Gildan Activewear /Apaid Garment Factory
******************

***********************

Dessalines Is Rising!!
Ayisyen: You Are Not Alone!


 


U.S. Patterns in Haiti
***************
 
*******************
Bigio - Haiti’s few Jews hold on to history
*******************
Haiti - The Virtual Jewish History Tour
*
******************

Bigio - Haiti's wealthy prosper while the poor decline
**************

Gilbert Bigio's Company – GB Group owns interests in sixteen of Haiti's largest companies
*******************

Haiti economic elite families adapting to new competition
, October 1996
**************
 
 

 




 

THIS PAGE IS UNDER CONSTRUCTION
***********************
FreeHaitiMovement sponsors are encouraged to help us build this our Campaign Five action plan pages by sending to HLLN names and list of companies - their addresses, products, directors, how involved with Haiti, et al , - supporting, maintaining the UN occupation and Coup d'etat (rule of the 1 to 3% percenters in garnering Haitian votes and their appointees.) - to list on this page.

Men Anpil Chay Pa Lou!!
***********************
Help
"....expose how for all the unscrupulous and shady businessmen and governments of the world, Haiti has always been a fiscal paradise because the Neocolonialists' manufactures fear, racists myths and false stereotypes about Haitian brutality and violence that controls and maintains the world's negative perceptions of Haiti so that empire, their predatory "charitable" and "benevolent" NGOs and the world's corporate oligarchs may contain-Haiti-in-poverty the better to rob it blind. (See also, Is the UN military proxy occupation of Haiti masking US securing oil/gas reserves from Haiti; Recommended HLLN Links (Energy and Mining in Haiti): The wealthy, powerful and well-armed are robbing the Haitian people blind, and a June 13, 2008 Nouvelliste article alleging, in sum, that "...in these last months, more than 40 to 50% of the imported rice that is subsidized by the Haitian State is CONSUMED in the DOMINICAN REPUBLIC?.... And that even Haitian clandestinely subsidized petroleum products, cheaper Haiti oil products, are also being consumed by wealthy foreign ships passing through Haitian waters, instead of the impoverished and starving Haitians these food and gas subsidies were intended to benefit...")

***********************


"... stop the imposed famine from fraudulent "free trade" policies that destroys Haitian food sovereignty; stop imposed coup d'etat and UN/US protectorate that destroys Haitian security and stability, increases violence and organized kidnappings, drug-dealings and arms trafficking ...(Go to: Genocide by vaccination in Haiti - Is this a way to sterilize Haitian women, as was done to Puerto Rican women?)
***********************
Gildan Activewear, corporate website

*************
Expose the Lies

*************

Digging up Haiti
(See,
Matraco-Colorado Haiti Projects in Cap Haitian, Gonaives, Petite Goaves and Hinche. They are digging up Haiti's aggregate in Mole St. Nicholas to export for road construction abroad...)
***********************

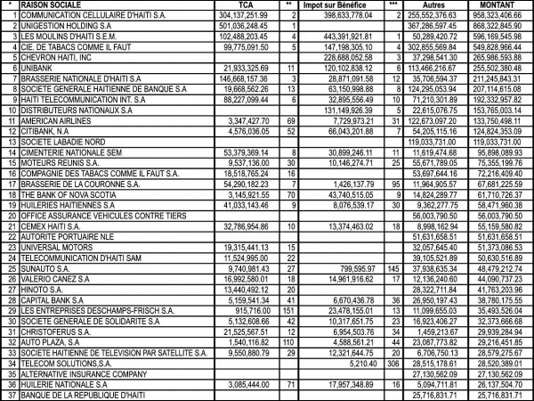
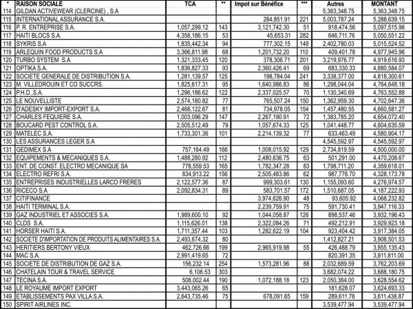
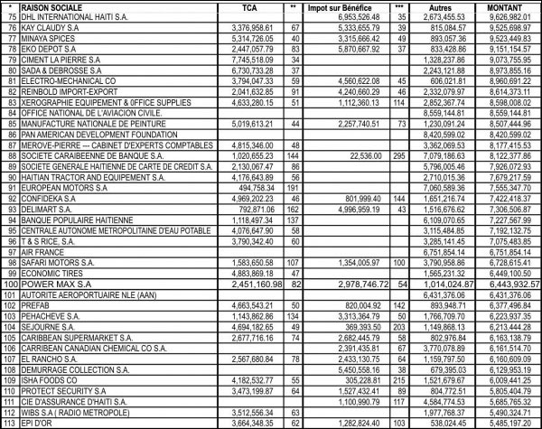
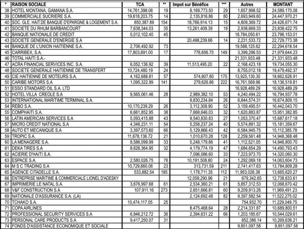
La DGI présente les 150 plus grandes entreprises d'Haïti

The list below was released by the government of Haiti, and reported in Le Nouvelliste, on October 20, 2007, of the top 150 businesses who are paying (some) taxes in Haiti.

Notice the miniscule amounts reported by huge concerns and the businesses of the corrupt coup d'etat families and foreigners that are NOT listed.

Click on photo for larger image

Click on photo for larger image

 
Click on photo for larger image

 

Click on photo for larger image

 

La DGI présente les 100 plus grandes entreprises d'Haïti


Ça fait déjà une année que la Direction générale des impôts a pris la décision de publier la liste des Grands contribuables de l'année et le montant de leurs contributions. C'est une initiative partagée par certains, combattue par d'autres.

Allez savoir pourquoi ? Nous croyons avoir été adoubés pour notre initiative par une institution publique partenaire, l'Administration générale des douanes qui nous a emboîté le pas et par une confrérie d'hommes d'affaires et pas des moindres, nous voulons parler de la AMCHAM, qui nous encourage, à chacune de nos rencontres, à continuer sur notre lancée. Nous estimons que la publication de la liste constitue une sorte d'émulation, un challenge pour les grands contribuables. La preuve, certaines maisons de la place dont les propriétaires ont bien d'autres talents, battant la grosse caisse dans les forums de la Société civile, absentes ou mal cotées dans la liste des 150 gros contribuables de l'exercice fiscal 2005-2006 font leur apparition en force dans la présente liste. Cette année, les ouvriers du chiffre se sont montrés moins complaisants dans l'établissement des Etats financiers ! Il y va de leur crédibilité.

Cette année, la DGI a apporté une innovation de taille dans la présentation de la liste des grands contribuables. Elle ne se contente plus de donner le montant global des impôts acquittés. Elle présente une version éclatée des impôts acquittés. Ainsi, cette année, les lecteurs de Le Nouvelliste seront à même de savoir la part qu'occupent la TCA, l'Impôt sur le revenu dans le volume des impôts acquittés par les différentes institutions.

Mesdames, Messieurs, nous avons le plaisir de vous présenter une liste des 100 premiers grands contribuables de l'exercice 2006-2007. Nous nous réservons de vous faire à brève échéance une analyse exhaustive de cette liste, de faire la comparaison avec celle de l'exercice 2005-2006, pour faire ressortir les progrès réalisés, les régressions constatées. La DGI remercie tous ceux, toutes celles qui lui ont permis, par leur civisme, d'honorer les prévisions de recettes fixées par le Ministère de l'Economie et des Finances, voire les dépasser. Elle les encourage à maintenir le cap, cette année encore.

François SERANT
fserant@yahoo.fr

 

*************************

Digging Up Haiti

Matraco-Colorado Haiti Projects are in Cap Haitian, Gonaives, Petite Goaves and Hinche. - They are digging up aggregate in Mole St. Nicholas to export for road construction abroad. Matraco-Colorado has a marble quarry in Gonaives; an aggregate quarry in Cap Haitien or the North Coast of Haiti; a lignite mine and power plant in Hinche; a chalk quarry in Petit Goaves.

The Haitian people are under occupation and have no one representing their interests. The gate is open with no guard at the door to mind the store: to make sure that there's as little environmental degradation to Haiti as possible from these diggings, minings and prospectings; that the companies, after their done mining, have a responsibility for the reconstruction of the infrastructure of the areas they've dug up and exploited; that the people, living in these areas, are given jobs from these Matraco-Colorado Haiti Projects (and other such mining companies taking out Haiti's natural resources (gold, copper, granite, coal, limestone, et al) that pays a livable, or at least minimum wage, with safe, eco-friendly and non-toxic work conditions and that the Haitian nation gets to duly increase its tax base while getting a fair share in the Haiti Project profits so the masses in Haiti may feed themselves, become self-reliant and successfully remove the financial shackles of the Internationals currently funding Haiti's national budget and the salaries of Haiti's political class. Thus, calling all the shots while the masses in Haiti starve, suffer famine, die from curable diseases, dirty water, are without Haitianist schooling, Kreyol literacy opportunities, basic health care, roads, electricity, housing, suffer the humiliation and tyranny of foreign occupation and die trying to escape in shark infested waters?

Haiti cannot afford for Matraco-Colorado Haiti Projects or any other company in Haiti digging, mining and prospecting (Hidalgo Mining International,
Copper Mining in Haiti /KWG Resources Inc, St. Genevieve Resources and KWG Resources, Eurasian Minerals...et al) to do as Reynolds Aluminium did to Haiti - dig up Haiti, take out all its wealth and resources, piece by piece, coal rock by wealthy coal rock, precious marble by precious Haitian marble, aggregate by aggregate and then leave devastated areas, un-replenish areas, toxic holes. Leave no sustainable economy for the people of the area to benefit from the wealth of that land that was theirs. (See,
Map of mining resources in Haiti and showing five oil/gas sites in Haiti.)


Ezili Danto
June 17, 2008

(See, Matraco-Colorado Haiti on Haiti resources and 3 false stereotypes about Haiti -A Power-Point Presentation).

Recommended HLLN Links (Energy and Mining in Haiti): The wealthy, powerful and well-armed are robbing the Haitian people blind

For more info, go to: http://www.matraco.com/
Also on the Matraco website: go to- "Matraco-Colorado Haiti Venture, 2005 update (web-based PowerPoint presentation; may download slowly. Opens in new window)"

************************
Gildan Activewear
Taking Sweatshops to new depths in Haiti

by Anthony Fenton, ZNet

July 24, 2004

“Let’s look at it from the point of view of the people of Bangledesh [or Haiti] who are starving to death, the people of China [or Honduras] who are starving to death, and the only thing they have to offer anybody that is worth anything, is their low cost labor. And, in effect, what they are saying to the world…they have this big flag that says ‘come over and hire us, we will work for 10 cents an hour because 10 cents an hour will buy us the rice we need not to starve’ and ‘come and rescue us from our circumstance’, so when Nike [or Gildan] comes in they are regarded by everybody in the community as an enormous godsend.”

- The Fraser Institute’s Michael Walker, excerpt from the critically-acclaimed documentary, The Corporation

On July 14th, “North America’s largest t-shirt maker” Gildan Activewear announced that they will be closing their El Progresso assembly plant in Honduras, when the lease expires on September 30th. 1800 workers will be laid off, in addition to the approximately 100 workers who were fired for attempting to unionize in 2002-03 (1).

Several organizations are shocked by Gildan’s decision to shutdown and relocate - like a “godsend” - to Haiti and Nicaragua, especially since reports are about to be released by the Fair Labor Association (FLA) and the Workers Rights Consortium (WRC) that detail the findings of their extensive audits into factory conditions, wage and worker- related issues.

The WRC’s Scott Nova said “the evidence is overwhelming” regarding “serious violations”, part of a broader “systematic problem” in the realm of women’s and workers rights. Nova described how Gildan even conducted their own internal investigation concerning the violation of women’s rights reaching the “exact same” conclusion as the WRC. The WRC’s case, similar to the forthcoming FLA report, is “cut and dried”. Being an unaccountable corporation has its advantages, however, as Gildan has consistently denied any wrongdoing and appear to be operating with ‘corporate impunity’.

Although Gildan spokesperson Stephane Lemay has attempted to preemptively discredit the WRC audit, pointing out that Gildan refused the WRC access to the El Progresso plant, Nova counters that physical access to the plant “was not important” anyway, given that they conducted extensive interviews with “just under one hundred” expelled workers, as well as with Honduras government officials, off premises. In other words, the WRC didn’t need access to the plant to prove that Gildan was committing these crimes.

The allegations that 1. Gildan illegally fired substantial numbers of workers for exercising their right to organize over a period of roughly two years, which “succeeded in preventing workers from forming a union” and 2. That Gildan violated Honduran law requiring workers to be paid for overtime, yielded conclusions that determined “substantial workers rights violations.”

According to Nova, there is “no debate over the facts”, and very similar conclusions were reached by the FLA, who, should Gildan refuse to honor the findings of their report or refuse to reverse the decision to cut and run from the El Progresso plant, will likely revoke Gildan’s membership. Lemay has stated that Gildan will adhere to the “corrective actions” recommended by the FLA, whom they are “bound contractually” to. The Maquila Solidarity Network’s Bob Jeffcot, and the WRC’s Nova, think it will be hard to enforce these corrective actions if Gildan cut and runs from its El Progresso plant. Says Jeffcot, “to close it down now is incredibly suspicious”, especially in light of the fact that approximately 100 workers are owed back pay “who deserve something irrespective of the decision to move.”

It is doubtful that Gildan will care whether or not they remain members of the FLA; they probably only joined to appease some shareholders, notably the Quebec Solidarity Fund.

One week after Gildan joined the FLA, the Solidarity Fund announced that they will be pulling out their 11.1% share of Gildan, based on their own findings concerning the “cut and dried” facts of workers and women’s rights violations at El Progresso. (2)

No longer having to concern themselves with ‘ethical considerations’ Gildan is proceeding into Haiti and the Dominican Republic (whose textile sector employs thousands of Haitian refugees, see below), where conduct is neither seriously monitored nor enforced, especially now that the legitimately elected government is gone.

Haitian labor unions have reported (3) that the 70 gourde minimum wage (paltry, but fought for and attained by the Lavalas government in 2003) is being rolled back (to its pre-2003 36 gourde level) now that a puppet/military regime is in place and are looking the other way while sweatshop owners exploit workers and expand operations in this more “favorable” environment. People like Andy Apaid, who is one of Gildan’s “local” subcontractors (4), according to former workers, never honored the minimum wage and would fire workers who dissented. In addition, feudal lords like Apaid would force workers to attend anti-Aristide “opposition” rallies under threat of termination or reprimand.

It should be recalled that Apaid, despite the fact that he is a US citizen, was the leader of the International Republican Institute-spawned Group of 184- anti-Aristide “opposition”, and that Apaid’s family gave financial support to the 1991-94 military junta that overthrew Aristide the first time. Apaid, along with other members of the tiny “Haitian” elite and former death squadrons, orchestrated the destabilization and eventual overthrow of Aristide [with the “international community”]. That Gildan has benefited directly from this may or may not be a coincidence, but we must carefully consider the timing herein.

It was public knowledge in 2003 that Canada, France, the United States, in conjunction with the US State Department’s Otto Reich, and the Assistant Secretary General of the OAS, Luigi Einaudi, were holding serious discussions concerning “the Haitian crisis”. The proposed solution to this “crisis” that was largely manufactured by these very same parties, as discussed on January 17th, 2003, was “UN tutelage” of Haiti and a return of the Haitian army, operating on the premise that “Aristide must go”. This particular meeting was named the “Ottawa Initiative on Haiti”, and was hosted by then Minister for La Francophonie, Denis Paradis, who said “Although the United Nations wouldn’t wish for intervention to lead to a military occupation…that might be inevitable until elections are held.”(5)

According to journalist Michel Vastel, a subsequent follow up meeting “to finalize the plan” took place in El Salvador, attended by Canada’s Deputy Vice-Minister for the Americas Marc Lortie, as well as US State Departments Roger Noriega, Otto Reich, and “a White House official, indicative of how serious this was being taken.” (6)

Vastel who interviewed Paradis for L’Actualite magazine in Quebec, wrote “Aristide must be overthrown” and efforts along these lines are being spearheaded by “parliamentarians of several countries brought together at the initiative of Canada. [Emphasis added]

Paradis is quoted in Vastel’s article making two explicitly racist comments:
“If Canadians treated their animals as the Haitian authorities treat their citizens, they {Canadian authorities] would be jailed.” While Paradis later denied having said this (although Vastel recorded it), Canadian Ambassador to Haiti, Kenneth Cook, confirmed that these comments were made.” (7)

Paradis, after visiting Haiti in 2000, “visited 20 world capitals to discuss the Haitian case,” and concluded “In Africa I have seen poverty with dignity…but in Haiti there’s not even dignity.” Generally, one does not have to look too far to find racist remarks about Haitians, as this has consistently characterized mainstream reporting on Haiti, and is inherent to the policies of the “international community.” (8)

Former US President John Adams stated the inherently racist premise that prevails to this day, in 1799, when he said concerning Haiti “Independence is the worst and most dangerous condition they can be in for the United States.” (9)

How does this context apply to Gildan Activewear?


Michael Walker’s quote at the top typifies the prevailing frame of mind of the contemporary neoconservative/colonial industrialist and policymaker. This is no more clear than in case of Gildan in relation to Haiti, Gildan being a bottom-feeder that seeks to exploit the most vulnerable people on the planet to extract slave-like labour and profits from.

A July 3rd feature Globe and Mail article on Gildan puts this in perspective. The title reads “Gildan takes T-shirt making to the cutting-edge of casual apparel; Firm’s dedication to keeping costs down is helping make it ‘more dominant everyday’. This commitment to developing the “lowest possible cost base” has made Gildan a “global T-shirt powerhouse” enabling them to build a veritable “casual-apparel empire”.

The timing of Gildan’s decision “to pioneer offshore manufacturing facilities in the Caribbean basin where labour and shipping costs are low” dovetails nicely with both the decision to subvert democracy in Haiti, and the looming January 1st, 2005 lifting of worldwide textile quotas. Here’s one good reason why the “international community”, according to a March 7, 2003 Radio Metropole report “will not wait for elections to take place in 2005 before there can be a change of regime in Haiti.”

For Gildan’s part, the equation is simple:

“The goal is to continue to drive down costs in order to meet an expected challenge from cheap Chinese and other imports as quotas are lifted on developing nations’ textile exports beginning next year. Gildan’s costs for supplying the U.S. market will continue to be lower than for the Chinese market thanks to manufacturing efficiencies…”

Gildan spokesperson Lawrence Sellyn boasts “There is no way a competitor can throw enough labour at these costs to offset our economies of scale.”

US apparel tycoons are not so flippant about what they perceive as the “looming Chinese threat” which they feel could completely supplant the US textile industry after 2005:

“The answer must come quickly. The American Textiles Manufacturers Institute (ATMI) predicts China will supply 70 per cent of the world’s textile market after…2005.”

That’s why they are lobbying the Bush administration to “safeguard” the industry “on the basis of the [Chinese] threat,” says Lloyd Wood, media director for ATMI. Based on 100% of the market, “China could pick up 15-20 million jobs” and they are willing to subsidize the industry in order to drive prices down and lure customers like Wal-Mart to their endless supply of export processing zones.

Accordingly, says Wood a “basketcase” like Haiti will be competing for textile scraps, which he equates with “highly labour intensive” work that only desperate third-worlders are equipped to do: “There hasn’t been a machine invented that can sew a garment better than a human on a machine.”

It should not have surprised anyone when in May of 2003 Gildan announced that they had “recently opened an additional sewing plant in Haiti that will allow us…to lower the overall costs of our sewing.” This facility is to be a part of an “integrated manufacturing hub” that “will be based on the successful model of Gildan’s integrated textile and sewing operations in Honduras.”

The “18 million square foot tract of land in the Dominican Republic…is large enough to accommodate an anticipated further major capacity addition on the same site.” This will require accompanying additions by way of sewing facilities, in Haiti.
Whatever President Aristide’s deficiencies as a politician (deficiencies that are, according to international law, not to be judged by the “international community” but Haitian voters), when his government signed on to the free trade zone area overlapping the Haiti-Dominican border, on behalf of Haitian workers he insisted on collective bargaining rights. Given Gildan’s obvious “allergy” to such labour provisions, they are delighted to see that these provisions no longer apply, even theoretically, under the Canada-US-France installed puppet regime of Gerard Latortue and Boniface Alexandre. Gildan spokesperson Stephane Lemay, of course, denies any connection between their February 6th announcement, that Gildan is preparing to “expand its Latin American and Caribbean workforce by 50 per cent by 2008…primarily by opening new operations in Haiti and the Dominican Republic,” (IPS, February 6th, 2004) and the political realities in Haiti.

One could say that Michel Vastel’s article constituted a form of ‘insider trading’, providing investors with the foreknowledge that brighter days are coming to Haiti, where Neoliberalism and unfettered access to dirt-cheap labor will at last prevail under the protection of a US Puppet Regime and a reconstituted Haitian army. Gildan apparently has no ethical qualms with the targeting of Lavalas supporters in Haiti - several thousand of which have been murdered since February 29th - so long as there are enough Haitian slaves around to sew their t-shirts.

Notes:
(1) The story of Gildan’s union-busting in Honduras was featured on a January 22, 2002 episode of the CBC television’s Disclosure, in a 2002 expose that leveled serious accusations, rigorously denied by Gildan at the time. To find out how to support the ongoing struggle of Honduran Gildan workers, please contact the Fair Labour Association, Workers Rights Consortium or the Maquila Solidarity Network [Links above].

(2) On November 12th (five days after Gildan announces its FLA membership) the Solidarity Fund announced that it “is removing its representative from the board of directors of Gildan” and will gradually sell close to 2.5 million shares “with a market share of close to $90 million”. (Canada Newswire, 12 November 2003) CEO of the Fund, Pierre Genest, said “It’s a question of principle. We are an ethical fund and we believe that Gildan hindered the workers’ right of association”. This “principled” stance of course did not prevent the Fund from pocketing the $80 million-plus return on their original 1996 investment of $3.5 million. Rather than – as a major shareholder – use this influence to address the misery of the Honduran workers, the “Solidarity Fund” foreshadows Gildan by ‘cutting and running’, thereby leaving these workers to their own devices.

(3) The Quixote Center met with Haiti’s largest labour unions during its Emergency Observation Mission March 23-April 2nd, 2004. The author was a part of this delegation.

(4) Apaid, like many of the 1% of the elites who control 50% of Haiti’s wealth, is not a Haitian citizen. He is also a known pathological violator of workers rights, and his company (Alpha Communications Network) has been charged, additionally, with trying to monopolize internet service in Haiti [on this, see Fortune Magazine, June 24, 2000].

Testimonials regarding Apaid’s conduct as employer were obtained as part of the Quixote Center Emergency Observation Mission to Haiti, March 23-April 2nd, 2004.

(5) For background on the Ottawa Initiative on Haiti, see Michel Vastel’s March 15th, 2003 article in L’Actualite, as well as Raymond Joseph’s “Preparing for Civil War”, March 7th, 2003 in The New York Sun. See also Haiti’s Radio Metropole broadcast transcripts, courtesy of “BBC Monitoring America”, March 7th, 2003, and the March 5, 2003 edition of Haiti-Progres http://www.haiti-progres.com/2003/sm030305/eng03-05.html.

(6) Interview with Vastel, May, 2004.

(7) The author and Tom Reeves met with Ambassador Cook in Port au Prince as part of the Quixote delegation.

(8) For extensive analysis along these lines see Robert Lawless’s Haiti’s Bad Press, Schenkman Books, 1992.

(9) Adams quoted in Ludwell Lee Montaigne’s Haiti and the U.S. 1714-1938. >From J. Fred Rippy’s foreword: “The Policy of the U.S. accords with a maxim almost as unchanging as a law of mathematics or physics…That maxim is the domination of the area…In this region the policy of the U.S. has departed from ideal standards if international morality more widely than elsewhere.”

(10) See http://www.sweatshopwatch.org/global/articles/jcca_sep03.html

Anthony Fenton is a researcher and activist based in Vancouver. He can be reached at apfenton@ualberta.ca.


FreeHaitiMovement sponsors are encouraged to help us build this page by sending to HLLN names and list of companies - their addresses, products, directors, how involved with Haiti, et al , - supporting, maintaining the Coup d'etat and UN occupation - to list on this page.

Men Anpil Chay Pa Lou!!


FreeHaitiMovement sponsors are encouraged to send us a list of companies maintaining the Coup d'etat and supporting UN occupation - to list on this page. Men Anpil Chay Pa Lou!!
 
campaigns_button
different_button
_______________
Yvon Neptune's
Letter From Jail
Pacot
-
April 20, 2005

(Kreyol & English)
_______________
Click photo for larger image
Emmanuel "Dread" Wilme - on "Wanted poster" of suspects wanted by the Haitian police.
_______________
Emmanuel "Dread" Wilme speaks:
Radio Lakou New York, April 4, 2005 interview with Emmanuel "Dread" Wilme
_______________

_______________
The
Crucifiction of
Emmanuel "Dread" Wilme,
a historical
perspective

_______________
Urgent Action:
Demand a Stop
to the Killings
in Cite Soleil

*
Sample letters &
Contact info

_______________
_______________
Denounce Canada's role in Haiti: Canadian officials Contact Infomation
_______________

Urge the Caribbean Community to stand firm in not recognizing the illegal Latortue regime:

Selected CARICOM Contacts
Key
CARICOM
Email
Addresses
zilibutton Slide Show at the July 27, 2004 Haiti Forum Press Conference during the DNC in Boston honoring those who stand firm for Haiti and democracy; those who tell the truth about Haiti; Presenting the Haiti Resolution, and; remembering Haiti's revolutionary legacy in 2004 and all those who have lost life or liberty fighting against the Feb. 29, 2004 Coup d'etat and its consequences
     
 
BACK
Ezilidanto Writings| Performances | Bio | Workshops | Contact Us | Guests | Law | Merchandise
© 2003 Marguerite Laurent